细胞科普|41.7%的癌症死亡可预防!全球癌症负担迫近拐点:2023年1040万人死于癌症,2050年或达1860万
点击蓝字 关注我们

前 言
如果说,21世纪的健康战场上有什么敌人最顽固、最昂贵、最沉默,那无疑是——癌症。
《柳叶刀》(The Lancet)最新发表的《全球疾病负担研究2023》(GBD 2023)用冷冰冰的数据,给世界敲响了警钟:2023年全球有1,040万人死于癌症,预计到2050年将暴涨至1,860万人。
更令人不安的是,研究发现,41.7% 的癌症死亡其实“可预防”。换句话说,几乎每两例因癌离世的人中,就有一位死于可以避免的习惯与环境。
当未来的统计曲线还在向上攀升,我们不得不问一句——我们是不是在慢半拍地面对一个已经到来的“全球性流行病”?
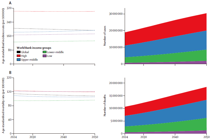
01 数据揭示真相——癌症正在重塑全球健康版图
这份长达数百页的 GBD 系统性分析覆盖 1990 至 2023 年,涉及 204 个国家与地区,是人类目前最庞大的癌症流行病学数据集。
在 1990 年,癌症发病率最高的地区主要集中在北美、西欧等高收入国家;而如今,中低收入国家的癌症新发与死亡曲线正急剧上扬。
2023 年全球约 1,850 万例新发癌症,较 1990 年增长超过一倍(+105%);死亡增长约 74%。但这背后的关键并非“癌症更猛了”,而是人群老龄化、城市化、环境污染和生活方式改变的叠加效应。

▲2023年全球癌症负担
更惊人的是,GBD 预测到 2050 年,全球新发癌症将达 3,050 万例,死亡将升至 1,860 万人。这意味着每分钟将有 35 人死于癌症——是今天的近两倍。
“癌症已成为全球人口结构的放大镜。”——研究团队在报告中这样写。老龄社会的扩张与医疗资源的不平衡,正在重塑全球健康的版图,也暴露了一个痛点:医疗系统还没为这场“慢性危机”做好准备。
02 41.7% 的死亡,其实可以避免
最具震撼力的数字不是总病例数,而是那 “41.7% 可预防”。根据 GBD 数据,2023 年全球约有 433 万例癌症死亡 可归因于可改变风险因素。这其中,排名前五的“致癌推手”是:
吸烟(占比约 33%)
饮酒
不健康饮食(高盐、低蔬果)
肥胖与代谢异常
环境污染与职业暴露
这些看似日常的习惯和暴露,却构成了癌症的温床。在中低收入国家,吸烟率和空气污染叠加,使得肺癌仍稳居死亡榜首;而在发达国家,肥胖与久坐导致的乳腺癌、结直肠癌正在上升。

▲2050年全球癌症负担预测
世界卫生组织指出:仅仅戒烟与改善饮食,就可使癌症总体死亡率下降约20%。这并不是遥远的理想,而是可操作的公共健康路径——问题在于,社会是否真的愿意为“预防”投入与“治疗”同等的重视与资源。
癌症不是宿命,而是一场行为、政策与环境的合谋。如果说 41.7% 的死亡是“可避免的”,那剩下的 58.3%,正提醒我们——医学不能单打独斗,健康更需要社会系统的协同。
03 不同国家,不同命运——癌症的不平等版图(正文三·约400字)
癌症的负担,从来不是均匀分布的。GBD 数据揭示,癌症的地域鸿沟比以往更深:在高收入国家,早筛体系与全民医保使得死亡率趋稳甚至下降;而在中低收入国家,发病率、死亡率、经济损失三线齐升。
例如:
撒哈拉以南非洲:由于筛查不足与医疗延迟,宫颈癌仍是女性头号癌症死因;
南亚与东南亚:胃癌、肝癌、鼻咽癌等与感染和饮食相关的癌症仍高发;
拉美地区:酒精与肥胖双重因素推动乳腺癌年轻化;
中国:GBD 数据显示,肺癌、肝癌、结直肠癌居前三,且总癌症负担居世界前列。
这种分化并非自然规律,而是“健康资源的分配结果”。发达国家在上世纪80年代完成了控烟、筛查、公众教育的系统布局;而许多发展中国家,至今仍停留在“等病来治”的阶段。
未来几十年,如果政策与公共卫生体系不改变,这种癌症不平等将进一步扩大。
04 从数据到行动——让未来的曲线不再向上
数字冰冷,但命运可以被改变。当 GBD 的研究者预告 2050 年的“癌症高峰”,这不是宿命,而是一个选择题。41.7% 的癌症死亡可预防,背后隐藏的正是全球公共健康的最大机会窗口。
减少烟草、限制酒精、普及筛查、倡导健康饮食、提升NK细胞活性,这些看似老生常谈的举措,才是阻止那条曲线继续上扬的“硬科技”。癌症的故事不该被定义为“灾难”,而应被改写为“转折”——只要人类愿意行动。
2050 年之前,我们仍有 27 年。问题是,我们愿不愿意把这 27 年,变成改变命运的倒计时?
参考文献
The global, regional, and national burden of cancer, 1990–2023, with forecasts to 2050: a systematic analysis for the Global Burden of Disease Study 2023
GBD 2023 Cancer Collaborators,Affiliations & Notes,Article Info
Linked Articles


本公众号所有文章旨在宣传生命科学领域的最新技术和研究,所有内容均不构成任何医疗指导。

本篇文章来源于微信公众号:中启源生物科技





