行业前沿丨重大突破!脐带干细胞治疗糖尿病临床试验结果公布:胰岛素用量显著降低,安全性获验证!

作者: 中启源
发布于: 2025-02-16 14:23
阅读: 557



引言:

糖尿病治疗新希望,干细胞疗法崭露头角!

2型糖尿病(T2DM)患者长期饱受血糖失控、药物依赖的困扰。传统治疗虽能暂时控糖,却无法逆转疾病进程。近日,一项由中国人民解放军总医院第一医学中心主导的II期临床试验取得突破性进展:脐带间充质干细胞(UC-MSCs)静脉输注治疗2型糖尿病,显著降低患者胰岛素需求,且安全性良好! 这项双盲、随机、安慰剂对照研究结果发表在《干细胞研究与治疗》期刊,为干细胞治疗糖尿病提供了强有力的临床证据。



为何选择脐带间充质干细胞?

cell

间充质干细胞(MSCs)被誉为“万能修复细胞”,具有抗炎、免疫调节、促进组织修复等独特能力。相较于骨髓或脂肪来源的干细胞,脐带间充质干细胞(UC-MSCs) 优势显著:

无伦理争议:取自健康产妇分娩后的脐带,来源便捷;

高活性低成本:增殖能力强,易规模化制备;

低免疫原性:移植后排斥风险极低。
此前动物实验已证实,UC-MSCs能改善胰岛素抵抗、促进胰岛功能恢复。此次临床试验首次在人体中验证其潜力!



临床试验设计:

严谨科学,数据说话

研究团队招募了91名2型糖尿病患者,随机分为UC-MSCs组(45人)和安慰剂组(46人),接受为期48周的观察:

治疗方案:3次静脉输注UC-MSCs(间隔4周),每次剂量1×10⁶个细胞/kg;

核心指标:HbA1c(糖化血红蛋白)<7.0%,且每日胰岛素用量减少≥50%。


疗效亮眼!胰岛素需求大幅下降,血糖控制更优!
48周随访结果显示:

显著减少胰岛素依赖:UC-MSCs组20%患者达到主要终点(安慰剂组仅4.55%),部分患者甚至完全停用胰岛素;

随访9-48周时HbA1c水平< 7.0%且每日胰岛素用量降低≥50%的患者的百分比

血糖长期改善:UC-MSCs组HbA1c水平平均下降1.31%,显著优于对照组(0.63%);

用UC-MSCs或安慰剂治疗后的胰岛素需求和HbA1c水平

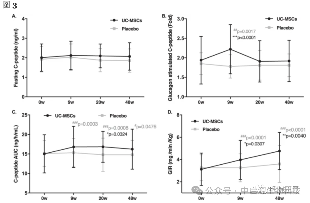
胰岛素抵抗减轻:治疗后患者葡萄糖输注率(GIR)提升52%,提示代谢功能改善。

用UC-MSCs或安慰剂治疗后的胰岛β细胞功能和胰岛素抵抗。




安全性获验证:

无严重副作用,患者耐受良好!

试验期间仅报告2例非相关不良事件(脑梗塞、股骨颈骨折),经评估与干细胞治疗无关。未发现免疫排斥、肿瘤风险等副作用,48周随访证实治疗安全性。



专家解读:

干细胞疗法的未来与挑战

尽管疗效显著,研究仍存在一定的局限性,例如病程、胰岛功能等个体差异使部分患者改善有限。

同时专家还支出其机制待深挖,UC-MSCs如何逆转胰岛素抵抗?是否促进β细胞再生?

研究团队表示:下一步将开展多中心、大样本III期试验,并探索联合疗法(如干细胞+基因编辑),力争让更多糖尿病患者受益!



结语:

从实验室到临床,干细胞治疗迈出关键一步!

此次试验不仅为2型糖尿病提供了全新治疗选择,更为干细胞技术的临床应用注入信心。随着科研深入与政策支持,“打一针干细胞,告别胰岛素” 的未来或不再遥远!



转发此文,为医疗科技点赞!


(本文基于临床研究数据整理,仅供参考,具体治疗请遵医嘱。)






本篇文章来源于微信公众号:中启源生物科技
分享
  • toolbar