细胞科普|31项临床试验发现:NK细胞治疗实体瘤不仅安全而且有效,肝癌控制率高达88.9%
点击蓝字 关注我们

前 言
在肿瘤治疗的版图中,免疫疗法始终是最受期待的赛道。CAR-T的成功,让人们看到了“细胞杀死癌细胞”的可能性,但它高昂的代价与风险,也让无数患者与家庭望而却步。就在此时,另一类细胞——自然杀伤细胞(NK细胞),逐渐被推上舞台。

一项最新发表在 Frontiers in Immunology的系统综述,汇集了31项临床试验、600名患者的真实数据,给出了令人振奋的结论:NK细胞在实体瘤中显示出超过63%的疾病控制率,尤其在肝癌中控制率高达88.9%。这意味着,我们可能正在迎来一位新的“抗癌选手”,而且它不仅有效,更重要的是,安全。
01 31项试验揭示的真实疗效
这份数据来自31项涉及实体瘤的NK细胞临床试验,涵盖肝癌、肺癌、胃癌等多种类型,总计超过600名患者。
核心发现包括:总体客观缓解率(ORR):28.2%;疾病控制率(DCR):63.2%
也就是说,每10名接受NK细胞治疗的患者中,有超过6名能实现病情稳定或肿瘤缩小。对于实体瘤这样公认“难啃的骨头”,这是一个不容忽视的成绩。

▲总缓解率 (ORR) 与疾病控制率 (DCR) 的森林图(95% CI)。采用随机效应模型。ORR:0.282(95% CI:0.914–0.389)。异质性:I2 = 77.192%;p = 0.000。DCR:0.632(95% CI:0.543–0.713)。异质性:I2 68.347%;p = 0.000。CRR,完全缓解率;ORR,总缓解率
尤其是肝癌患者的数据最为惊艳。与传统局部治疗(如不可逆电穿孔,IRE)联合时,疾病控制率高达88.9%,客观缓解率达到72.3%。在以往缺乏高效方案的背景下,这个数据足以点燃新的希望。
更进一步,异体NK细胞(来自健康供者)疗效优于自体NK细胞。统计显示,异体NK细胞ORR为39.6%,而自体仅为21.7%。这表明,未来的NK疗法或许会更多依赖“现货细胞库”,而不是耗时费力的自体制备。
02 疗效背后,更突出的安全性
很多患者听到“免疫细胞疗法”时,第一反应往往是——副作用是不是很严重?毕竟CAR-T疗法让人谈之色变的“细胞因子风暴”(CRS)和移植物抗宿主病(GvHD)案例,给公众留下了深刻印象。
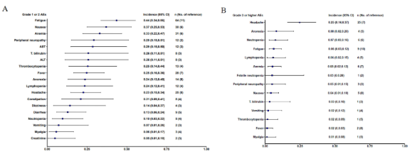
但NK细胞疗法的临床数据却显示出截然不同的安全图景:最常见副作用是疲劳(44%)和恶心(37%),大多属于轻度。少数患者会出现轻微发热、头痛、寒战,但都能通过常规支持性治疗缓解。重要的是:没有出现严重的CRS和GvHD案例。
原因在于,NK细胞并不像T细胞那样需要特定抗原识别,它们的杀伤更为“天然”,扩增时也不会出现不可控的暴走。换句话说,NK细胞可能是“温和而稳健”的免疫疗法。
对很多患者而言,这样的安全性意味着更低的治疗门槛——他们可以尝试免疫疗法,而不用担心陷入高风险的副作用困境。
03 影响疗效的关键因素
临床数据显示,NK细胞疗法的疗效并非一成不变,而是受到多重因素的影响:
细胞来源:异体优于自体,提示未来细胞库模式的重要性。
剂量:输入剂量 ≥10⁹ 个时,疗效显著优于低剂量组。
培养时间:培养周期越短,疗效越好。超过两周,细胞功能会逐渐衰减。
联合疗法:单用NK细胞时疗效有限,但与IRE、放疗或靶向药物联合时,效果明显提升。
特别是在肝癌患者中,NK细胞与IRE结合的方案,才实现了接近9成的疾病控制率。这一发现说明,NK细胞更可能作为“组合拳”的关键一环,而不是单打独斗的“神药”。
因此,未来NK细胞疗法的发展方向,不仅在于提高单体效果,还在于探索更合理的联合方案,从而实现1+1>2的疗效。
04 NK细胞的未来版图
过去十年,CAR-T疗法几乎垄断了“免疫疗法”的话题。但随着研究深入,CAR-T的局限性逐渐显露:高成本、复杂生产流程、实体瘤疗效有限。
此时,NK细胞的崛起,正好填补了空白。
它的优势在于:
更安全:无严重细胞因子风暴或排异反应。
可规模化:异体细胞可扩增、冷冻保存,未来有望实现“现货治疗”。
实体瘤潜力大:数据显示,在肝癌、肺癌、胃癌等均有积极信号。
目前,全球已有超过100项NK细胞相关临床试验正在推进,中国与美国是主要阵地。未来几年,随着更多数据积累,NK细胞有望迎来首批正式上市的疗法。

▲不良事件总体发生率与 95% CI 的森林图。(A) . 1 级或 2 级不良事件;(B) . 3 级或更高级别不良事件
这或许意味着,免疫治疗的未来不再只有CAR-T一枝独秀,而是多元并存。对患者而言,选择更多,意味着希望更多。
05 抗癌拼图的新碎片
从600例患者的数据中,我们看到NK细胞并非“奇迹药”,但它却在抗癌版图上拼出了关键一块。既有疗效,又兼顾安全性,这让它成为免疫治疗中最值得关注的新秀之一。
尤其在肝癌这样的高发难治肿瘤中,接近九成的疾病控制率,足以证明NK细胞的潜力。未来,它可能不会单独颠覆癌症治疗,但一定会成为综合治疗体系中不可或缺的支柱。
正如研究者所言:“癌症不是一场速胜的战役,而是一场长期的拉锯。NK细胞疗法,正是这场拉锯战里的一支新力量。”
参考文献
Efficacy and safety of natural killer cell therapy in patients with solid tumors: a systematic review and meta-analysis
Heesook Park、Gyurin Kim、Najin Kim、Sungyoen Ha、Hyeonwoo Yim
https://www.frontiersin.org/journals/immunology/articles/10.3389/fimmu.2024.1454427/full



本篇文章来源于微信公众号:中启源生物科技





